Skini sliku “Izjava o odgovornosti” , popuniš formular i pošalješ na naš email
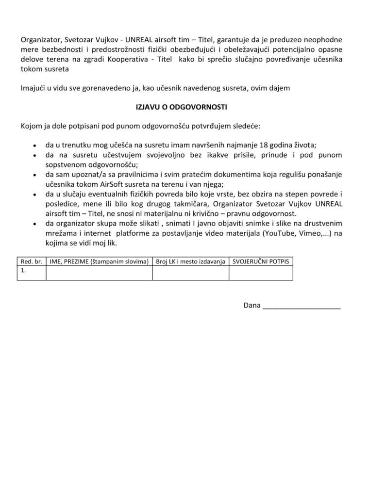
Popunjavanje Izjave o odgovornosti je obavezan korak pre svake airsoft igre jer služi kao pravna i bezbednosna osnova za sve učesnike i organizatore.
Glavni razlozi za popunjavanje ove izjave su:
- Preuzimanje rizika: Airsoft je adrenalinski sport koji nosi određene fizičke rizike, kao što su pogoci kuglicama, padovi ili povrede na neravnom terenu. Potpisivanjem izjave potvrđujete da ste svesni tih rizika i da dobrovoljno pristajete na njih.
- Zaštita organizatora: Izjava oslobađa organizatore i vlasnike terena pravne odgovornosti za eventualne nesrećne slučajeve koji nastanu tokom normalnog toka igre ili usled nepoštovanja pravila od strane igrača.
- Potvrda o poznavanju pravila: Potpisom garantujete da ste pročitali i razumeli pravila bezbednosti, uključujući obavezno nošenje zaštitne opreme (maske/naočare) i pravila rukovanja replikama.
- Lična odgovornost za štetu: Ovim dokumentom se obavezujete da ćete nadoknaditi štetu ukoliko namerno oštetite klupsku opremu ili rekvizite na terenu.
- Zdravstvena sposobnost: Izjavom potvrđujete da ste u dobrom zdravstvenom stanju i da nećete učestvovati pod dejstvom alkohola ili psihoaktivnih supstanci, što je ključno za opštu bezbednost.
- Saglasnost za maloletna lica: Za igrače mlađe od 18 godina, izjava služi kao pisani pristanak roditelja ili staratelja za njihovo učešće u igri.
Potpisivanjem Izjave o odgovornosti pomažete u stvaranju sigurnog okruženja za sve prisutne, čime se omogućava nesmetano uživanje u igri. Detaljna pravila i formulare možete pronaći na sajtu UNREAL Airsoft Tima.


